As an essential component of automobiles, the steering system has evolved from purely mechanical manual drive, through power-hydraulic drive and electronically controlled hydraulic drive, to electric power steering.
Electric power steering can be further classified into three types based on the mounting location of the steering motor: column-mounted, gear-mounted, and rack-mounted.
Figure 1 illustrates the drive mechanism of an Electric Power Steering (EPS) system.

The torque sensor detects the driver’s steering input and sends a signal to the EPS ECU.
After processing, the ECU transmits the information to the assist motor, which responds by activating and transmitting driving force downward.
One of the core components of the EPS assist motor is the Printed Circuit Board Assembly (PCBA), whose Printed Circuit Board (PCB) employs a rigid-flex design.
This type of PCBA is known as a Rigid-Flex Printed Circuit Board Assembly (RFPCBA).
The Rigid-Flex Printed Circuit Board (RFPCB) possesses bendable properties, which enhance the functional integration of the assist motor while reducing space requirements.
As a critical component of intelligent driving and vehicle control, EPS assist motors face increasingly stringent requirements for precision and consistency in their assembly processes.
In particular, as one of the core components of the EPS assist motor, the assembly quality of the PCBA directly impacts the vehicle’s overall performance, safety, and reliability.
Against the backdrop of the nation’s promotion of smart manufacturing and the rapid development of the new energy vehicle industry, automotive suppliers need an assembly line to mass-produce EPS motors.
This allows them to bring the motors to market efficiently.
Therefore, research on the bending of EPS motor PCBs holds significant value and importance.
Overall Plan
PCBA bending is one of the processes in the EPS assist motor assembly line.
Given the scale and complexity of a complete assembly line, this study will focus primarily on the PCBA bending process, with only brief descriptions provided for the processes preceding and following bending.
Pre-bending processes include PCBA press-fitting, applying thermal paste to the PCBA, soldering, and inspection, motor loading and unloading, etc.
Post-bending processes include PCBA tightening, motor plasma cleaning, application of sealing compound and inspection, and motor cover pressing, among others.
The processes most closely related to PCBA bending are PCBA pressing and PCBA tightening.
A PCBA is produced by assembling various components onto a PCB.
Considering factors such as positioning, support, and clearance, the bending process actually involves bending the PCB itself.
Figure 2 shows a schematic diagram of PCB bending. Figure 3 shows a schematic diagram of the overall layout of the bending workstation.


Trays containing motors are transported by a conveyor chain to various process workstations for motor assembly.
The assembly line utilizes Radio Frequency Identification (RFID) technology for information identification and tracking.
Table 1 shows the step-by-step timeline for the bending process, which is expected to take 10 seconds in total.
| Step | Time (Start–End) |
|---|---|
| Tray flows in from the previous workstation | 0 s – 2 s |
| Tray is stopped for RFID reading/writing | 2 s – 3 s |
| Tray is lifted to bending height | 3 s – 5 s |
| Bending module retracts via assist motor | 5 s – 7 s |
| Assist motor completes PCBA bending | 7 s – 10 s |
| Remaining steps | — |
Table 1: Bending Process Steps – Timeline
The proposed RFID is a technology that uses radio waves for information transmission and identification.
An RFID system typically consists of three components: a tag, a reader, and a data processing system, as shown in Figure 4.

The tag obtains power by receiving radio frequency signals emitted by the reader, thereby transmitting the information stored in the chip to the reader.
The data processing system stores and processes the data collected from the reader for subsequent decision-making, analysis, or record management.
By attaching a tag containing a chip and an antenna to a pallet, the system uses radio frequency signals to identify and track the pallet automatically.
It can record the assembly processes that have already been completed on a motor.
It can also identify motors that have passed inspection but are later found to be defective and sent to the rework station.
Based on this information, it directs motors that do not require a specific assembly process to the next assembly workstation.
Bending Accuracy and Non-Destructive Control
The accuracy of the bending process is controlled by multiple modules working in concert, including the pallet positioning module, the lifting coordination module, and the bending execution module.
Among these, the bending trajectory of the bending execution module directly affects the accuracy of the bending process.
On the automated assembly line, the servo motor assembly is automatically conveyed to and positioned at each process workstation, with the decision to detach from the conveyor line made based on actual conditions.
To eliminate the impact of conveyor line vibrations on PCBA bending, the lifting coordination module detaches the servo motor assembly from the conveyor line while it is on the pallet positioning module.
The pallet positioning module moves along the entire assist motor assembly line, while a stop cylinder is fixedly mounted on the conveyor line to halt the pallet positioning module.
Once stopped, an inductive proximity sensor detects the approach of a metal object at a fixed position on the pallet positioning module.
It senses changes in the sensor’s electromagnetic field caused by the object’s metallic composition, thereby controlling the positioning accuracy of the pallet positioning module.
Once the pallet positioning module is stopped, the system checks whether a servo motor body is present on it.
This detection is achieved using a diffuse-reflection photoelectric sensor.
The sensor emits a beam of light that is diffusely reflected when it encounters an object’s surface.
Its receiver detects the object’s presence by receiving the light reflected from the object’s surface.
The pallet positioning module is primarily used to provide positioning support for the motor body, positioning support for the PCBA, and to interface with the coordination module.
Before the bending process, the bottom layer of the PCBA is secured to the motor body with screws.
The top layer of the PCBA is supported on the flipping plate shown in Figure 5 to prevent cracks from forming at the rigid-flex connection of the PCB, which could result in product scrap.
The flipping plate moves in tandem with the PCBA during the bending process.
It is equipped with space to accommodate components on the PCBA and guide holes for the screwdriver used in the subsequent tightening process.
It also features locating pins, support columns, and bearings that align and connect with the bending execution module. Figure 5 shows a schematic diagram of the pallet positioning module.

When the pallet-in-place detection sensor signals, the lifting coordination module begins to move upward.
The fit between the pallet positioning pin and the pallet positioning hole ensures positional accuracy.
Once the pallet support column comes into contact with the pallet positioning module, the pallet positioning module begins to move upward.
Figure 6 shows a schematic diagram of the lifting coordination module.

Once the positioning of the main drive motor is complete, the two ends of the bending module move inward, causing the flipping clamps to engage with the bearings at both ends of the flipping plate, thereby completing the initial movement prior to bending.
After bending, a sensor verifies whether the bend is in place and sends a signal to initiate the next action.
Figure 7 shows a schematic diagram of the bending module.

To ensure the accuracy of the bending radius and prevent damage during the bending process, it is necessary to plan the motion trajectory for PCBA bending (see Section 3, “Bending Radius Adaptability,” for details).
The PCBA bending process does not employ traditional bending methods, where the workpiece is shaped using dies.
Instead, under the constraints of a guide plate, a flipping plate supports the PCBA as it bends along an involute curve to prevent damage to the PCBA components during bending.
Since an involute curve does not have a uniform curvature, the bending execution module incorporates a variable-curvature mechanism to accommodate this characteristic.
The variable-curvature bending drive mechanism is shown in Figure 8; the mechanism’s movable slider accommodates flexible changes in curvature.

Adaptability to Bending Radii
By utilizing parametric bending path planning and quick-change path plates, the system accommodates PCBA assemblies with varying bending radii.
Furthermore, parametric bending path planning ensures the accuracy of both the bending radius and bending position for PCBA assemblies.
Based on the principle of involutes, when a generating line rolls along a base circle, the motion trajectory of a point on the generating line is an involute.
The flexible region of the RFPCB can be regarded as the generating line, and the bending radius is the radius of the base circle.
By establishing a coordinate system centered on the base circle, manufacturers can derive the parametric equations of the involute (see Equations (1) and (2)).
From these, they can determine the motion trajectories of the moving points at the two axes of the flipping clamping plate.
These trajectories include the left trajectory (see Equations (3) and (4)) and the right trajectory (see Equations (5) and (6)), as shown in the schematic diagram of the bending motion trajectory in Figure 9.
Based on this schematic, manufacturers can design the quick-change guide plate to guide the RFPCB along the predetermined bending path.
The guide plate also prevents bending radii from falling below the minimum limit, avoiding material damage during the bending process.

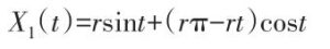
The parametric equations of the involute are X1 and Y1, respectively:
-300x45.jpg)
-300x44.jpg)
The parametric equations of the left trajectory, X₂ and Y₂, are:
-300x38.jpg)
-300x36.jpg)
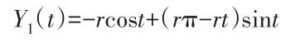
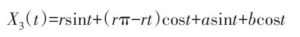
The parametric equations of the right trajectory, X3 and Y3, are:
-300x37.jpg)
-300x30.jpg)
In the formula: r is the bending radius, t is the bending arc (range 0–π), a is the vertical distance from the axis of the flip-over bracket to the PCB, and b is the distance between the two axes of the flip-over bracket.
Conclusion
This study addressed key technical challenges in the bending process for EPS assist motor PCBs.
Through parametric bending trajectory planning, coordinated pallet positioning and lifting, and integration of bending execution modules, the study effectively resolved the issue of bending radius adaptability.
It achieved precise control over bending accuracy and damage-free bending, and successfully applied these results to an EPS assist motor assembly line.
In the future, as intelligent driving technologies place increasingly higher demands on the integration and reliability of electronic control systems, the bending process workstation proposed in this study can offer theoretical support.
It can also provide practical guidance for the smart manufacturing of similar precision electronic components.
Furthermore, the deep integration of this technological framework with advanced technologies such as the Industrial Internet of Things (IIoT) and digital twins will further drive the upgrade of EPS motor production toward greater flexibility and intelligence.
This integration will also contribute to the self-reliance, controllability, and high-quality development of core components within the new energy vehicle industry chain.
